A. Pangkat
B. Akar
Jika a bilangan real serta m, n bilangan bulat positif, maka berlaku:
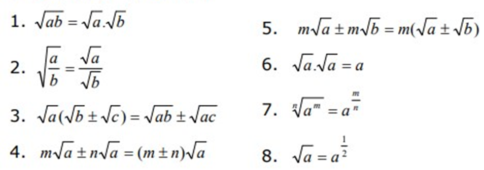
Kaidah bentuk akar:
C. Logaritma
VIDEO PENJELASAN MATERI DIATAS
DAFTAR REFERENSI
[1] Widayat, W.(2020). Matematika Ekonomi. Universitas Terbuka
[2] Sa'adah. U.N. dan Haryono, E. (2021). Matematika Ekonomi dan Bisnis. Pesona Press
[3] Dumairi. (2014). Matematika Terapan Untuk Ekonomi dan Bisnis. BPFE-Yogyakarta
[4] Kalangi, J.B. (2017). Matematika Ekonomi dan Bisnis (Edisi 3). Salemba Empat.

0 Comments